หัวข้อเรื่อง
แว่นขยาย

กล้องจุลทรรศน์

กล้องถ่ายรูป

หัวข้อย่อย
 
กล้องจุลทรรศน์

           กล้องจุลทรรศน์เป็นกล้องที่ใช้ขยายภาพของวัตถุเล็กๆซึ่งอยู่ใกล้ประกอบด้วยเลนส์นูน 2อัน คือ
               1 .เลนส์ใกล้วัตถุ หมายถึงเลนส์ที่อยู่ใกล้วัตถุเป็นเลนส์มีขนาดเล็ก มีความยาวโฟกัสน้อย
               2 .เลนส์ใกล้ตาหมายถึงเลนส์ที่อยู่ใกล้ตาเป็นเลนส์ขนาดใหญ่ มีความยาวโฟกัสมาก
หมายเหตุ
     เลนส์ใกล้ตาและเลนส์ใกล้วัตถุจะอยู่ห่างกันเป็นระยะคงที่ค่าหนึ่งโดยติดตั้งอยู่ภายในท่อทรงกระบอกซึ่งเป็นส่วน ประกอบหนึ่งของกล้องจุลทรรศน์
     ถ้าต้องการมองภาพของวัตถุให้ขยายใหญ่ขึ้น อาจทำได้โดยการเลื่อนท่อทรงกระบอกขึ้นลงเพื่อปรับตำแหน่งของเลนส์(ระยะห่างของเลนส์ทั้งสองมีค่าคงเดิม)


ภาพด้านขวาแสดงกล้องจุลทรรศน์แบบใช้แสง
ภาพด้านซ้ายแสดงการเกิดภายขยายของวัตถุเมื่อมองโดยกล้องจุลทรรศน์

               การใช้กล้องจุลทรรศน์มองวัตถุเล็กๆ ต้องปรับให้เลนส์ใกล้วัตถุอยู่ห่างจากวัตถุเป็นระยะทางมากกว่าความยาวโฟกัสของเลนส์ใกล้วัตถุ และ เมื่อเรามองผ่านเลนส์ทั้งสองเพื่อมองภาพของวัตถุภาพที่เห็นจากกล้องจุลทรรศน์จะเป็นภาพเสมือนหัวกลับขนาดขยาย
ขั้นตอนการเกิดภาพจากเลนส์ใกล้วัตถุและใกล้ตา

1.ปรับกล้องจุลทรรศน์จนระยะห่างระหว่างเลนส์ใกล้วัตถุกับวัตถุอยู่ห่างกันเป็นระยะมากกว่าความยาวโฟกัสของเลนส์ใกล้วัตถุ

2.แสงจากวัตถุจะหักเหผ่านเลนส์ใกล้วัตถุทำให้เกิดภาพจริง ขนาดใหญ่กว่าวัตถุ(ภาพหัวกลับเมื่อเทียบกับวัตถุ) คือภาพ I1โดยภาพI1ที่เกิดขึ้นนี้จะอยู่ระหว่างเลนส์ทั้งสองและอยู่ที่ระยะน้อยกว่าความยาวโฟกัสของเลนส์ใกล้ตา

3.ภาพ I1นี้จะทำหน้าที่เป็นวัตถุอีกครั้งเมื่อเทียบกับเลนส์อันที่2คือเลนส์ใกล้ตาทำให้เกิดภาพครั้งที่สองเป็นภาพเสมือนขนาดใหญ่(ภาพหัวกลับเมื่อเทียบวัตถุจริง)คือภาพ I2 ซึ่งเป็นภาพที่ตาเรามองเห็นจริงๆในกล้องจุลทรรศน์ เพราะฉะนั้นภาพที่มองห็นจากกล้องจุลทรรศน์เป็นภาพเสมือนหัวกลับขนาดใหญ่


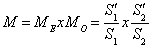
               การขยายของกล้องจุลทรรศน์=ผลคูณของการขยายของเลนส์ใกล้ตากับการขยายของเลนส์ใกล้วัตถุ